计算公式索引
相对数
公式(3.1)
公式(3.2) 
公式(3.3) 
χ2检验
公式(3.4)理论频数 
公式(3.5)χ2基本公式 
公式(3.6)χ2自由度 ν=(R-1)(C-1)
公式(3.7)χ2校正的基本公式 
公式(3.8)四格表专用公式 
公式(3.9)四格表校正公式 
公式(3.10)2×k表专用公式 
公式(3.11) 
公式(3.12)R×C表通用公式
中位数
公式(4.1)当n为奇数时 
公式(4.2)当n为偶数时 
公式(4.3)频数表上计算 
公式(4.4) 
百分位数
公式(4.5)频数表上计算 
算术均数
公式(4.6) χ=(1/n)∑X
公式(4.7) χ=C+(1/n)(Xi-C)
公式(4.8) χa=Xa-1+(1/n)(Xa-Xa-1)
公式(4.9) χ=(1/n)∑fX
几何均数
公式(4.10) 
公式(4.11) 
四分位数间距
公式(4.12) Q=P75-P25
均差
公式(4.13) 
标准差
公式(4.14) 样本标准差 
公式(4.15) 递推计算 
公式(4.16) 直接计算 
公式(4.17)
变异系数
公式(4.18) CV=S/X×100%, X>0
正态曲线
公式(5.1) 正态曲线方程 
(5.2) 正态离差 
(5.3) 标准正态曲线 
(5.4) 正常值范围 X±uαs
标准误
(6.1) 理论标准误 
(6.2) 样本均数的标准误 
(6.3) 率的标准误 
(6.4) 
t分布
(6.5) 
总体均数的估计
(6.6) 95%可信区间 X-t0.05,νSχ<μ
(6.7) 99%可信区间 X-t0.01,ν Sχ<μ
总体率的估计
(6.8) 95%可信区间P-1.96Sp<π
(6.9) 99%可信区间P-2.58Sp<π
t检验
公式(6.5)样本均数与总体均数比较 
公式(7.1) 两样本均数比较的自由度 ν=n1+n2-2
公式(7.2) 合并方差 
公式(7.3) 两均数相差的标准误 
公式(7.4) t检验 
u检验
公式(7.5)两均数相关的标准误 
u检验 
公式(7.6)两样本率比较 

公式(7.7)
公式(6.4) 
正态性检验
公式(7.8) w检验 
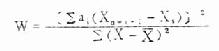
公式(7.9) 偏度系数 
公式(7.10) 
公式(7.11) 峰度系数 
公式(7.12) 
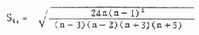
公式 (7.13) g1的抽样误差 
公式 (7.14) g2的抽样误差 
公式 (7.15) g1的u检验 u1=g1/Sg1
公式 (7.16) g2的u检验 u2=g2/Sg2
两方差齐性检验
公式(7.17) F=S12/S22,S1>S2
方差分析
公式(8.1) 总离均差平方和 
公式(8.2) 组间离均差平方和 
公式(8.3) 组内离均差平方和 
公式(8.4) 总变异自由度 ν总=N-1
公式(8.5)组间变异自由度 ν组间=k-1
公式(8.6) 组内变异自由度 ν组内=N-k
公式(8.7) F检验F=组间均方/组内均方
多个均数间两两比较
公式(8.8) 最小显著相差Dα=t,νS
A-
B
公式(8.9) 两均数的标准误 
公式(8.10) 平均例数
i=1,2,…,k
公式(8.11) 标准误 
多个方差齐性检验
公式(8.12) 
公式(8.13) 
直线相关
公式(9.1) 直线相关系数 
公式(9.2) 离均差积和 
公式(9.3) 相关系数t检验 
直线回归
公式(9.4) 直线回归方程 γ=a+bx
公式(9.5) 回归系数 
公式(9.6) 截距 a=γ-bχ
公式(9.7) 回归系数t检验 
公式(9.8) 回归系数的标准误 
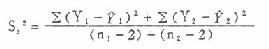
公式(9.9) 标准估计误差 
公式(9.10) 估计误差平方和 
公式(9.11) 两回归系数相关的t检验 
公式(9.12) 两回归系数相差的标准误 
公式(9.13) 两回归系数的合并方差 
符号检验
公式(10.1) 成对资料比较
,ν=1
公式(10.2) 秩号的中位数 
公式(10.3) 两组符号检验
,ν=1
公式(10.4) 两组符号检验
,ν=组数-1
秩和检验
公式(10.6) 成对资料比较
公式(10.6) 两组资料求较小R'R'=n1(n1+n2+1)-R
公式(10.7)两组资料比较 
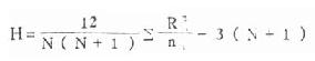
公式(10.8) 多组完全随机设计资料的比较 
公式(10.9) 多组随机单位组设计资料的比较 
公式(10.10) 多组秩和的两两比较 
秩相关系数
公式(10.11)Spearman秩相关系数 
参照单位分析
公式(10.12) 平均R值 
公式(10.13)R的标准误 
公式(10.14) R的95%可信限 
样本含量的估计
公式(11.1) 两个率比较所需例数
,1-β=0.5,α=0.05
公式(11.2) 大样本成对资料比较均数所需例数 n=4S2/X2,1-β=0.5,α=0.05
公式(11.3) 小样本成对资料比较均数所需例数
,1-β=0.5