七、实验动物用药量的确定及计算方法
(一)动物给药量的确定
在观察一个药物的作用时,应该给动物多在的剂量是实验开始时应确定的一个重要问题。剂量太小,作用不明显,剂量太大,又可能引起动物中毒致死,可以按下述方法确定剂量:
1.先用小鼠粗略地探索中毒剂量或致死剂量,然后用小于中毒量的剂量,或取致死量的若干分之一为应用剂量,一般可取1/10-1/5。
2.植物药粗制剂的剂量多按生药折算。
3.化学药品可参考化学结构相似的已知药物,特别是化学结构和作用都相似的药物的剂量。
4.确定剂量后,如第一次实验的作用不明显,动物也没有中毒的表现(体重下降、精神不振、活动减少或其他症状),可以加大剂量再次实验。如出现中毒现象,作用也明显,则应降低剂量再次实验。在一般情况下,在适宜的剂量范围内,药物的作用常随剂量的加大而增强。所以有条件时,最好同时用几个剂量作实验,以便迅速获得关于药物作用的较完整的资料。如实验结果出现剂量与作用强度之间毫无规律时,则更应慎重分析。
5.用大动物进行实验时,开始的剂量可采用给鼠类剂量的十五分之一~二分之一,以后可根据动物的反应调整剂量。
6.确定动物给药剂量时,要考虑给药动物的年龄大小和体质强弱。一般说确定的给药剂量是指成年动物的,如是幼小动物,剂量应减少。如以狗为例:6个月以上的狗给药量为1份时,3-6个月的给1/2份,45-89日1/4份,20-44日的给1/8份,10-19日的给1/16份。
7.确定动物给药剂量时,要考虑因给药途径不同,所用剂量也不同,以口服量为100时,灌肠量应为100-200,皮下注射量30-50,肌肉注射量为25-30,静脉注射量为25。
(二)实验动物用药量的计算方法
动物实验所用的药物剂量,一般按mg/kg体重或g/kg体重计算,应用时须从已知药液的浓度换算出相当于每kg体重应注射的药液量(ml数),以便给药。
例1:计算给体重1.8kg的家兔,静脉注射20%氨基甲酸乙酯溶液麻醉,按每kg体重1g的剂量注射,应注射多少ml?
计算方法:兔每kg体重需注射1g,注射液为20%,则氨基甲酸乙酯溶液的注射量应为5ml/kg体重,现在兔体重为1.8kg,应注射20%氨基甲酸乙酯溶液用量=5×1.8=9ml。
例2:计算给体重23g的小白鼠,注射盐酸吗啡15mg/kg重,溶液浓度为0.1%,应注射多少ml?
计算方法:小白鼠每kg体重需吗啡的量为15mg,则0.1%盐酸吗啡溶液的注射量应为15ml/kg体重,现小白鼠体重为23g,应注射0.1%盐酸吗啡溶液的用量=15×0.023=0.345ml。
(三)人与动物及各类动物间药物剂量的换算方法
1.人与动物用药量换算 人与动物对同一药物的耐受性是相差很大的。一般说来,动物的耐受性要比人大,也就是单位体重的用药理动物比人要大。人的各种药物的用量在很多书上可以查得,但动物用药量可查的书较少,而且动物用的药物种类远不如人用的那么多。因此,必须将人的用药量换算成动物的用药量。一般可按下列比例换算:人用药量为1,小白鼠、大白鼠为25-50,兔、豚鼠为15-20,狗、猫为5-10。
此外,可以采用人与动物的体表面积计算法来换算:
(1)人体体表面积计算法 计算我国人的体表面积,一般认为许文生氏公式(中国生理学杂志12:327,1937)尚较适用,即:
体表面积(m2)=0.0061×身高(cm)+0.0128×体重(kg)-0.1529
例:某人身高168cm,体重55kg,试计算其体表面积。
解:0.061×168+0.0128×55.0.1529=1.576m2
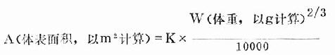
(2)动物的体表面积计算法 有许多种,在需要由体重推算体表面积时,一般认为Meeh-Rubner氏公式尚较适用,即:

式中的K为一常数,随动物种类而不同:小白鼠和大白鼠9.1、豚鼠9.8、家兔10.1、猫9.8、狗11.2、猴11.8、人10.6(上列K值各家报导略有出入)。应当指出,这样计算出来的表面积还是一种粗略的估计值,不一定完全符合于每个动物的实测数值。
例:试计算体重1.50kg家兔的体表面积。

2.人及不同种类动物之间药物剂量的换算
(1)直接计算法 即按:

例:某利尿药大白鼠灌给药时的剂量为250mg/kg,试粗略估计狗灌胃给药时可以试用的剂量。
解:实验用大白鼠的体重一般在200g左右,其体表面积(A)为:

250mg/kg的剂量如改以mg/m2表示,即为:

实验用狗的体重一般在10kg左右,其体表面积(A)为:

(2)按mg/kg折算mg/m2转换因子计算
例:同上
解:按
计算出狗的适当试用剂量。mg/kg的相应转移因子可由表11-3查得。(即为按mg/m2计算的剂量)。

(3)按每kg体重占有体重表面积相对比值计算
各种动物的“每kg体重占有体表面积相对比值(简称体表面积比例比值)”见表11-3。

(4)按人和动物间按体表面积折算的等效剂量比值表计算
见表11-4,12kg狗的体表面积为200g大白鼠的17.8倍。该药大白鼠的剂量为250mg/kg,200g的大白鼠需给药250×0.2=50mg。
于是
(狗的适当试用剂量)。
表11-3 进行不同种类动物间剂量换算时的常用数据
动物种类 |
Meeh-Rubner公式的K值 |
体重(kg) |
体表面积(m2) |
Mg/kg-mg/m2转移因子 |
每kg体重占有体面积相对比值 |
|
小白鼠 |
9.1 |
0.018 0.02 0.022 0.024 |
0.0066 0.0067 0.0071 0.0076 |
2.9 3.0 3.1 3.2 |
粗略值3 |
1.0 (0.02kg) |
大白鼠 |
9.1 |
0.10 0.15 0.20 0.25 |
0.0196 0.0257 0.0311 0.0761 |
5.1 5.8 6.4 6.9 |
粗略值6 |
0.47 (0.20kg) |
豚鼠 |
9.8 |
0.30 0.40 0.50 0.60 |
0.0439 0.0532 0.0617 0.0697 |
6.8 7.5 8.1 8.6 |
粗略值8 |
0.40 (0.40kg) |
家兔 |
10.1 |
1.50 2.00 2.50 |
0.1323 0.1608 0.1860 |
11.3 12.4 13.4 |
粗略值12 |
0.24 (2.0kg) |
猫 |
9.0 |
2.00 2.50 3.00 |
0.1571 0.1324 0.2059 |
12.7 13.7 14.6 |
粗略值14 |
0.22 (2.5kg) |
狗 |
11.2 |
5.00 10.00 15.00 |
0.3275 0.5199 0.6812 |
15.3 19.2 22.0 |
粗略值19 |
0.16 (10.0kg) |
猴 |
11.8 |
2.00 3.00 4.00 |
0.1878 0.2455 0.2973 |
10.7 12.2 13.5 |
粗略值12 |
0.24 (3.0kg) |
人 |
10.6 |
40.00 50.00 60.00 |
1.2398 1.4386 1.6246 |
32.2 34.8 36.9 |
粗略值35 |
0.08 (50.0kg) |
表11-4 人和动物间按体表面积折算的等效剂量比值表
小白鼠(20g) |
大白鼠(200g) |
豚鼠(400g) |
家兔(1.5kg) |
猫(2.0kg) |
猴(4.0kg) |
狗(12kg) |
人(70kg) |
|
小白鼠(20g) |
1.0 |
7.0 |
12.25 |
27.8 |
29.7 |
64.1 |
124.2 |
378.9 |
大白鼠(200g) |
0.14 |
1.0 |
1.74 |
3.9 |
4.2 |
9.2 |
17.8 |
56.0 |
豚鼠(400g) |
0.08 |
0.57 |
1.0 |
2.25 |
2.4 |
5.2 |
4.2 |
31.5 |
家兔(1.5kg) |
0.04 |
0.25 |
0.44 |
1.0 |
1.08 |
2.4 |
4.5 |
14.2 |
猫(2.0kg) |
0.03 |
0.23 |
0.41 |
0.92 |
1.0 |
2.2 |
4.1 |
13.0 |
猴(4.0kg) |
0.016 |
0.11 |
0.19 |
0.42 |
0.45 |
1.0 |
1.9 |
6.1 |
狗(12kg) |
0.008 |
0.06 |
0.10 |
0.22 |
0.23 |
0.52 |
1.0 |
8.1 |
人(70kg) |
0.0026 |
0.018 |
0.031 |
0.07 |
0.078 |
0.16 |
0.82 |
1.0 |
(5)按人与各种动物以及各种动物之间用药剂量换算
已知A种动物每kg体重用药量,欲估算B种动物每kg体重用药剂量时,可先查第422页表11-5,找出折算系数(W),再按下式计算:
B种动物的剂量(mg/kg)=W×A种动物的剂量(mg/kg)
例如,已知某药对小鼠的最大耐受量为20mg/kg(20g小鼠用0.4mg),需折算为家兔量。查A种动物为小鼠,B种动物为兔,交叉点为折算系数W=0.37,故家兔用药量为0.37×20mg/kg=7.4mg/kg,1.5kg家兔用药量为11.1mg。
表11-5 动物与人体的每公斤体重剂量折算系数表
折算系数W |
A 组 动 物 或 成 人 |
|||||||
小鼠 0.02kg |
大鼠 0.2kg |
豚鼠 0.4kg |
兔 1.5kg |
猫 2kg |
犬 12kg |
成人 60kg |
||
B 种动物或成人 |
小鼠20g |
1.0 |
1.6 |
1.6 |
2.7 |
3.2 |
4.8 |
9.01 |
大鼠0.2kg |
0.7 |
1.0 |
1.14 |
1.88 |
2.3 |
3.6 |
6.25 |
|
豚鼠0.4kg |
0.61 |
0.87 |
1.0 |
1.65 |
2.05 |
3.0 |
5.55 |
|
兔1.5kg |
0.37 |
0.52 |
0.6 |
1.0 |
1.23 |
1.76 |
2.30 |
|
猫2.0kg |
0.30 |
0.42 |
0.48 |
0.81 |
1.0 |
1.44 |
2.70 |
|
犬12kg |
0.21 |
0.28 |
0.34 |
0.56 |
.068 |
1.0 |
1.88 |
|
成人60kg |
0.11 |
0.16 |
0.18 |
0.304 |
0.371 |
0.531 |
1.0 |
|